特许金融分析师(CFA)资料推荐!
备考必备 | 2019-10-20
CFA考试资料
2020年CFA考试大纲及考纲对比

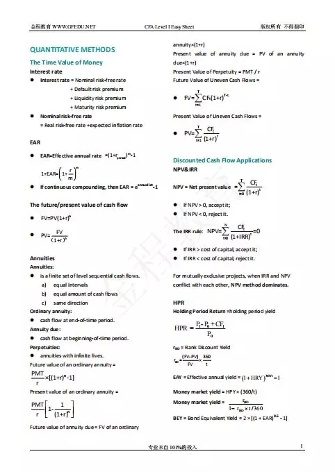
CFA公式表


CFA一级百题巅峰_经济学


CFA一级知识框架图





CFA答疑精编


CFA学霸笔记

CFA一级学习计划

CFA二级学习计划

CFA三级学习计划

2018年行业研究报告


精选的11份报告目录如下——
1.中国人民银行-全球视野下的中国普惠金融:实践、经验与挑战
2.中国指数研究院-房地产行业:中国房地产百强企业十五年报告
3.国泰君安-中美贸易摩擦全景解析
4.中金公司-2018全球经济及资本市场展望
5.广发证券-完美世界-002624-泛娱乐领航者,内容+平台铸就坚实护城河
6.申万宏源-2018年下半年行业比较报告:基于信用风险分析视角下的行业选择
7.申万宏源-计算机金融科技行业2018年下半年投资策略:Fintech与区块链,价值、变化和展望
8.国盛证券-小米集团-1810.HK-多行业多维度,看小米生态链精髓
9.财通证券-2018年下半年A股投资策略:紧握龙头,拥抱创新
10.普华永道-独角兽CEO调研2018:解密独角兽,共筑中国未来新经济
11.兴业证券-125页PPT深度解密隐性债务、政策疏导、风险识别与机会选择
CFA全球交流QQ群:908685645。最新CFA资料&资讯随时分享,与众多CFA备考或持证人交流考试经验。
声明|本文由金程CFA综合采编自网络。我们尊重原创,重在分享。部分文字和图片来自网络。
相关标签 CFA三级 CFA二级 CFA一级
